Soal fungsi lengkap dengan kunci jawaban adalah judul dari postingan kali ini, sebelum kita belajar materi fungsi, 4 soal matematika mengucapkan salam sapa untuk sahabat 4 soal matematika semua, berjumpa lagi dengan blog yang sangat sederhana ini, yang membahas semua soal matematika sd lengkap, soal matematika smp lengkap, soal matematika sma lengkap, dan soal perguruan tinggi lengkap.
Kali ini 4 soal matematika akan berbagi materi fungsi materi sma, lebih tepatnya adalah soal fungsi untuk belajar sahabat 4 soal matematika semua, dan berikut soal fungsi materi sma :
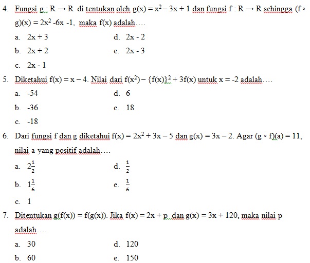
Soal fungsi lengkap dengan kunci jawaban.
Kunci jawaban soal fungsi diatas.
1. e
2. c
3. e
4. d
5. a
6. d
7. b
8. d
9. c
10. b
Semoga dalam mempelajari materi fungsi dengan mengerjakan soal-soal yang lebih beragam bisa membuat pembelajaran kita lebih efektif. Untuk soal fungsi lengakp dengan kunci jawaban diatas bisa menjadi salah satu media belajar sahabat 4 soal matematika semua. Terimakasih atas kunjungannya, kunjungi terus 4 soal matematika, yang membahas semua soal matematika sd lengkap, soal matematika smp lengkap, soal matematika sma lengkap, dan soal perguruan tinggi lengkap.
Jangan lupa bookmark blog ini (dengan cara : ctrl+d di browser kalian) untuk mendapatkan update terbaru soal-soal matematika, dan juga kalian bisa request soal yang kalian inginkan. terimakasih.
Baca juga :
- Soal integral lengkap dengan pembahasan.
- Soal dimensi tiga lengkap dengan pembahasan.
- Soal suku banyak lengkap dengan pembahasan.
- Soal fungsi lengkap dengan kunci jawaban.
- Soal turunan fungsi lengkap dengan pembahasan.
- Soal matriks lengkap dengan kunci jawaban.
- Soal transpos matriks lengkap dengan pembahasan.
- Soal diferensial lengkap dengan pembahasan.
- Soal program linier lengkap dengan pembahasan.



No comments:
Post a Comment
Pembaca yang bijak adalah pembaca yang mau berkomentar untuk membantu meningkatkan pendidikan.